群团工作
群团通知公告
环境与能源工程学院拟推荐2021年度国家励志奖学金参评人选公示
发布时间: 2021-09-28 浏览次数: 720

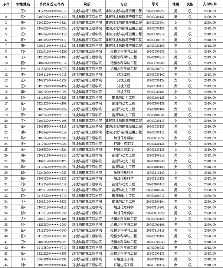
   根据学函〔2021〕94号《关于做好2021年国家奖学金、国家励志奖学金及国家助学金评定工作的通知》的要求,经个人申报,资格审查,学院评审委员会讨论、初审,推荐王*等45人参评2021年国家励志奖学金

   公示时间2021年9月27日至108日。

   公示期间,对上述情况有异议的请向学院纪委反映。

 

联系人:吴明轩

联系电话:63828255

2021年9月27

公示名单如下: